Algebra i liczby
- Szybkie obliczanie sumy kolejnych liczb naturalnych

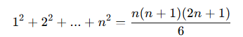
- Szybkie obliczanie sumy kwadratów liczb od 1 do n

- Szybkie skracanie wyrażeń typu
- Zmiana procentu w przypadku wzrostu i spadku:
Jeśli cena rośnie o x% i potem spada o x%: - Przekształcanie zadań tekstowych w równania – np. „o x więcej/mniej” w ułamkach lub procentach – po słowie „od” znajduje się nasze sto procent
🔹 Geometria
- Suma kątów wielokąta
- Pole trójkąta przez dwie strony i kąt między nimi
- Pole równoległoboku przez przekątne i kąt między nimi
- Szybkie przybliżenia długości przekątnej prostokąta
🔹 Funkcje i statystyka
- Średnia po dodaniu nowej liczby
- Szybkie obliczanie prawdopodobieństwa zdarzeń wykluczających się i niezależnych

🔹 Triki ułatwiające zadania maturalne
- Przekształcanie wyrażeń algebraicznych – rozkładanie na czynniki w nietypowych przypadkach.
- Szybkie sprawdzenie, czy liczba jest podzielna przez 2, 3, 5, 9 – przy zadaniach z liczbami dużymi.
- Zadania procentowe w kilku krokach – warto znać schemat: wartość początkowa → zmiana procentowa → nowa wartość.
- Szukanie współczynnika przy prostych równaniach i proporcjach – przyspiesza obliczenia bez liczenia „całych równych wartości”.
